下面将通过对铣削加工中的端铣法说明,如何通过切削参数来计算铣削过程中所需的切削功率。
端铣是指利用端铣刀铣削工件表面的一种加工方式。端铣时,由分布在圆柱或圆锥面上的主切削刃担任切削作用,而端部切削刃为副切削刃,起辅助切削作用。端铣刀具有较多的同时工作的刀刃,加工表面粗糙度较低。
计算铣削加工所需功率的计算思路和公式和车削基本一样,不过由于切屑生成的基本原理不同,计算过程会略复杂。

端铣法示意图
首先还需要再引入几个和刀具相关的参数以便于后续的计算:

刀具的直径d
刀具的切深ap
刀具的切削宽度ae
刀具的切入角:φs
刀具每齿进给量:fz
刀具的主切削角:K
1. 首先需要计算刀具的切入角

2. 其次计算出刀具单位时间可切除掉材料的厚度,因为在切削过程中这个厚度是不断变化的,为了方便起见,我们取切削厚度的中间值

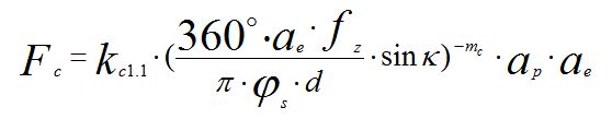
3. 随后我们可以来计算单位切削厚度材料所需的切削力,公式和上期讲车床的时候一样。

4. 下一步,我们结合切屑的截面积可以计算出刀具承受的总切削力(Fc)

这样我们就得到了对于铣削加工,完成单位体积材料切削所需切削力的公式:

5. 依据每齿进给率fz,刀具的齿数z,和主轴的转速n,可以计算铣刀的线速度
6. 最后我们得以计算出切削时所需要的总功率Pc:

我们使用上一期讲过的方式可以计算出轴电机需要提供的功率

由于铣床的电机和铣床的机械之间采用直连的方式比较多,减速比i=1,所以上面的公式可以化简成

1.计算出主轴转速(n)和其在切削中对应的功率值(Pc)后,就可以结合主轴电机的功率特性曲线判定该数值是否合适了,这个方法和车削过程一样,这里不多赘述,有兴趣的读者可以参照上一期内容。http://www.ad.siemens.com.cn/CNC4YOU/Home/Article/3

2. 由于铣削加工的特点:主轴转速,进给速度都比较快(这是有别于车削加工的地方)-而更高的速度就意味着更高的激励频率。我们在工程实践中知道:如果激励频率和机械系统的固有频率相近时,会加强机械的受迫振动,最终会导致工件表面出现不规律的条纹,影响表面光洁度,而这在一些机械加工行业(例如:模具)中是要避免的。所以有些国外的厂家在铣床上结合这个原理进行相关的二次开发时,除了需要考虑上述的功率因素,还需要集合机床的3D模型,利用数控系统中提供的相关功能(例如伺服驱动器优化,加加速度控制等功能)尽量避开共振点,以获得更好的表面光洁度。

引自《数控技术及应用指南2015/2016》
带给客户的价值:铣削工艺有其自身的特点, 操作工在加工时遇到的工艺问题也和车床加工不同,这里介绍的问题对于操作者以及机床的设计人员,当遇到加工效率,表面光洁度的问题时,除了从切削工艺,电机选型的角度思考之外,还可以基于振动原理背后的力学模型做进一步分析,为解决问题提供思路。