很多人看了这个题目可能会觉得我这个问题有点怪,PID当然是比例积分微分了,老师就是这样教的!
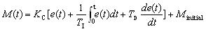
P、I是比例积分的简称没有问题,问题主要在微分上。请看PID的控制器的输入输出关系式:

式中误差信号e(t)=SP(t)–PV(t),M(t)是PID控制器的输出值,KC是控制器的增益(比例系数),TI和TD分别是积分时间和微分时间,Minitial是M(t)的初始值。
在数学上,函数y=f(x)的微分dy=f'(x)dx,微分是x的增量Δx→0时,函数y的增量。导数(Derivative)是微积分中的重要基础概念。当自变量x的增量趋于零时,函数y的增量与自变量x的增量之商的极限就是导数。或者说函数y的微分与自变量x的微分之商dy/dx就是该函数的导数f'(x)。导数在几何上是曲线y=f(x)的切线的斜率。
由此可知,PID公式中的de/dt是误差e相对于时间t的导数,而不是误差的微分de。
PLC英语手册中PID的微分时间为derivativetime,英语字典中derivative是导数或微商,而不是微分。看来PID中的derivative应翻译为导数,所以PID简称为比例积分导数更准确些。
为什么PID会被简称为比例积分微分?我想可能与大名鼎鼎的微积分有关系。
“PID是比例积分微分”这个说法大家都很习惯了,看来很难翻案了。但是我们一定要记住,PID控制器输出的第3个分量是与误差的导数de/dt(即误差的变化率)成正比,而不是与误差的微分de成正比!