回复:S7 1500T cpu指令探讨

Christian.

西门子1847工业学习平台

  • 帖子

    31
  • 精华

    0
  • 被关注

    13

论坛等级:侠士

注册时间:2014-01-16

普通 普通 如何晋级?

发布于 2017-05-12 00:36:43

8楼

展开查看
以下是引用龙晨旭日在2017-05-11 08:36:01的发言 >7楼

对这块指令不是很理解,很熟悉,说说我的理解。

据我理解  MC_interpolate 是做插补用的,不能生成5阶多项式这种曲线连接。Step 7 指令中 MC_interpolate

与 MC_CamSectorAdd指令。MC_CamSectorAdd可以生成5阶多项式连接曲线。

  不知道博途是不是升级了指令系统,你说的这个MC_interpolate用TO_CAM定义能说的具体些吗?

以下是引用Chen Gang在2017-05-10 22:25:45的发言 >6楼:MC_interpolate 是...

引用6楼详细内容:

MC_interpolate 是插CAM曲线的指令,但插什么类型的,可以看TO_CAM的分解定义,有1-1000个 POINT,和1-50个segment,可以定义好后,使用mc_interpolate指令来操作插入,掉电后应该不保持,每次上电后需要执行下。DONE信号为完成插入。

           比如这个就是插点的:

            #camtest.Point[#i16Index].x := "CamPoint".CamNumberPointX[#i16Index];

            #camtest.Point[#i16Index].y := "CamPoint".CamNumberPointY[#i16Index];

            #camtest.ValidPoint[#i16Index] := TRUE;

          只需要给前面赋值,然后调用MC_interpolate指令就可以生产曲线。

   前提您需要顶一个TO_CAM类型,里面有

Point Array[1..1000] of TO_Cam_Struct_PointData

Segment Array[1..50] of TO_Cam_Struct_SegmentData

Segment就可以定义多项式。

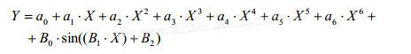
Segment[1] TO_Cam_Struct_SegmentData 

xmin LReal 

xmax LReal

a0 LReal 

a1 LReal 

a2 LReal 

a3 LReal 

a4 LReal 

a5 LReal 

a6 LReal 

sineAmplitude LReal 

sinePeriod LReal 

sinePhase LReal 

这是是其中一个segment包含的变量。怎么使用看自己想怎么利用这些变量来了。



评论
编辑推荐: 关闭

请填写推广理由:

本版热门话题

SIMATIC S7-1500系列

共有10698条技术帖

相关推荐

热门标签

相关帖子推荐

guzhang

恭喜,你发布的帖子

评为精华帖!

快扫描右侧二维码晒一晒吧!

再发帖或跟帖交流2条,就能晋升VIP啦!开启更多专属权限!

  • 分享

  • 只看
    楼主

top
X 图片
您收到0封站内信:
×
×
信息提示
很抱歉!您所访问的页面不存在,或网址发生了变化,请稍后再试。