暖通控制室外温度与供水温度函数

已锁定

ligp99

  • 帖子

    926
  • 精华

    0
  • 被关注

    34

论坛等级:侠圣

注册时间:2008-06-13

白金 白金 如何晋级?

暖通控制室外温度与供水温度函数

823

8

2017-11-22 07:54:00

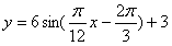
某地昼夜气温呈周期性变化,温度随时间变化近似满足函数y=Asin(wx+ψ)+b(A>0,w>0,-π<ψ≤π)(如图),且在每天凌晨2时达到最低温度-3℃,在下午14时达到最高温度9℃。
这段时间气温随时间变化的函数解析式

现在要根据这个函数给这个地区供暖,计算出室外温度(实时温度传感器)和供水水温的线性函数??。控制系统根据测得的室外温度与线性函数计算出该室外温度下的水温要求作为T

暖通控制室外温度与供水温度函数 已锁定
编辑推荐: 关闭

请填写推广理由:

本版热门话题

SIMATIC S7-200 SMART

共有9414条技术帖

相关推荐

热门标签

相关帖子推荐

guzhang

恭喜,你发布的帖子

评为精华帖!

快扫描右侧二维码晒一晒吧!

再发帖或跟帖交流2条,就能晋升VIP啦!开启更多专属权限!

  • 分享

  • 只看
    楼主

top
X 图片
您收到0封站内信:
×
×
信息提示
很抱歉!您所访问的页面不存在,或网址发生了变化,请稍后再试。