提问:1 泵负压抽吸 传递函数的数学模型是否可以用泵恒压供水表达式4.7来表示?或者能否认为近似相等?(恒压产水为泵出水侧,负压抽吸为泵吸入侧)

图2 为4.6管路模型
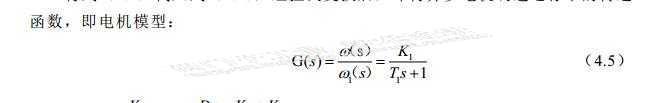
电机模型图3
2主要疑问:负压抽吸部分抽水侧管道压力变化是否为带滞后的一阶惯性环节表达式如图2(个人理解水泵抽水时,抽水侧管道压力为滞后变化,水抽上来后压力为惯性环节变化)
补充说明 A工艺背景说明:浸入式平板膜出水的抽吸泵采用负压抽吸,污水经膜池过滤后,把过滤后的水用泵抽上来,泵的工作过程是利用负压把膜池过滤后的水抽出。PT01为负压表
B惯性环节与延迟环节的区别:
惯性环节从输入开始时刻就已有输出,仅由于惯性,输出要滞后一段时间才接近所要求的输出值;
延迟环节从输入开始后在0 ~ τ时间内没有输出,但t =τ之后,输出完全等于输入。