回复:问一问自己做子程序自动分配背景数据的人。

holdkcsxyz

西门子1847工业学习平台

  • 帖子

    1578
  • 精华

    24
  • 被关注

    163

论坛等级:至圣

注册时间:2015-06-03

白金 白金 如何晋级?

发布于 2025-09-12 12:45:02

92楼

理想状态写工控类程序可能和写明末清初的小说类似:章节名,人物名,风景名,地名,物品名写的很精致,寓意丰富,多一字则多,少一字则少.附属于描述一个人物的性格,动作,服饰,诗歌等等写的也尽量精致,考究,全面,整体构思,逻辑,戏剧冲突的人物交互处理构思自然且精巧,动作合理,整体目的很明确很精致很全面,因此AC不易名称化,用着方便,不用利于结构,看个人喜好.

一个滤波:包括"十大滤波",还有常用的离散陷波滤波NotchFilter,KalmanFilter等等,不相关的一些事物在数学结构也有类似和迥异的一面,这也体现了杂乱中的共性,数学公式,阵列,分类等也使得工业程序有了精致的结构......

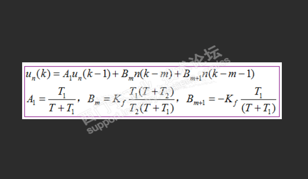
1离散前馈差分方程

2离散的NotchFilter

3二阶通用滤波

4温控滞后补偿


以上他们都有共性和自己的特性

评论
编辑推荐: 关闭

请填写推广理由:

本版热门话题

SIMATIC S7-200 SMART

共有9416条技术帖

相关推荐

热门标签

相关帖子推荐

guzhang

恭喜,你发布的帖子

评为精华帖!

快扫描右侧二维码晒一晒吧!

再发帖或跟帖交流2条,就能晋升VIP啦!开启更多专属权限!

  • 分享

  • 只看
    楼主

top
X 图片
您收到0封站内信:
×
×
信息提示
很抱歉!您所访问的页面不存在,或网址发生了变化,请稍后再试。